Những con số toán học xuất hiện ở khắp mọi nơi, nó đóng vai trò quan trọng giúp con người hiểu biết về thế giới xung và vũ trụ. Tất cả mọi sự tinh túy trong toán học đều được kết tinh thành những phương trình toán học. Phương trình toán học càng đơn giản thì người ta càng coi nó “đẹp”. Có những phương trình đặc biệt, với một sứ mệnh đặc biệt trong vô vàn các phương trình đó đã làm thay đổi cả thế giới. Và dưới đây chính là 17 phương trình đã thay đổi thế giới đã được nhà vật lý học Stewart đưa vào cuốn sách cùng tên và được xuất bản vào năm 2013. Dưới đây là bài viết của Vieclam123.vn giúp các bạn tìm hiểu tường tận hơn về các phương trình này.
MỤC LỤC
Phương trình Pitago:
\(a^2 + b^2 = c^2\)

Đối với nhân loại phương trình này đã trở thành nền tảng cho sự hiểu biết về hình học. Nó đóng vai trò trong việc mô tả mối quan hệ của các cạnh trong một tam giác vuông trên một mặt phẳng. Theo công thức ta thấy được, bình phương của cạnh huyền trong tam giác vuông chính bằng tổng bình phương hai cạnh góc vuông.
Mối quan hệ giữa các cạnh của tam giác vuông được sử dụng để phân biệt giữa hình học phẳng phi Euclide với hình học phẳng Euclide bình thường mà các bạn được học trong chương trình hình học trung học phổ thông. Ví dụ, trên bề mặt Trái đất được vẽ một tam giác vuông khổng lồ, thì tam giác này không được tuân thủ theo định lí Pitago.lý do là do bề mặt trái đất hình cầu chứ không phải mặt phẳng.

Phương trình Logarit: “Log xy = log x + log y”
Logarit là được biết đến là nghịch đảo của hàm mũ.
Ví dụ:
- Logarit cơ số 10 của 100 bằng 2, vì 100=10^2
- Logarit cơ số 10 của 1 bằng 0 vì 1 = 10^0
Phương trình được đưa ra ở trên chính là một thành quả lớn mang lại nhiều hữu ích của thuật toán Logarit, thuật toán này đã chuyển phép nhân thành phép cộng. Trong khoảng thời gian trước đây, khi mà chưa có sự xuất hiện của máy tính kỹ thuật số, thì phương trình này chính là cách để các nhà khoa học thực hiện phép nhân hai số có giá trị lớn với nhau. Nó giúp các nhà khoa học tính toán về thiên văn học và kỹ thuật, các phép tính trong vật lý, nếu phương trình này không được thiết lập ra thì có lẽ thế giới chỉ có thể phát triển một cách chậm chạp, không có tiến bộ.
Để biết rõ về tích phân thì các bạn nên tìm hiểu về đạo hàm. Công thức được đưa ra dưới đây đóng vai trò như định nghĩa cho đạo hàm trong vi tích phân.

Đạo hàm là phương trình thể hiện về tốc độ thay đổi của một đại lượng. Để dễ hiểu hơn chúng ta lấy một ví dụ: Nếu bạn đạp xe với vận tốc là 10km/h, thì sau mỗi giờ vị trí hiện tại của bạn sẽ thay đổi 10km so với vị trí cũ, bạn có thể biết được vận tốc chính là đạo hàm của vị trí, chính là sự thay đổi nhanh hay chậm của vị trí.

Phương trình về định luật vạn vật hấp dẫn được đưa ra ở trên đã mô tả về lực F – lực hấp dẫn giữa hai vật. Trong đó, d là khoảng cách giữa hai đối tượng, m1 và m2 lần lượt là khối lượng của hai vật, G là một hằng số vũ trụ.
Định luật vạn vật hấp dẫn của Newton là một phát minh vĩ đại, đã được lịch sử khoa học nhân loại ghi nhận. Tính bao quát của phương trình này trải dài khắp vũ trụ xung quanh chúng ta, từ Trái đất đến các hành tinh trong hệ mặt trời.
Trong suốt 200 năm, định luật vạn vật hấp dẫn của Newton vẫn trường tồn và chưa bao giờ bị lung lay cho đến khi Einstein đã phát minh ra thuyết thay thế tương đối rộng.
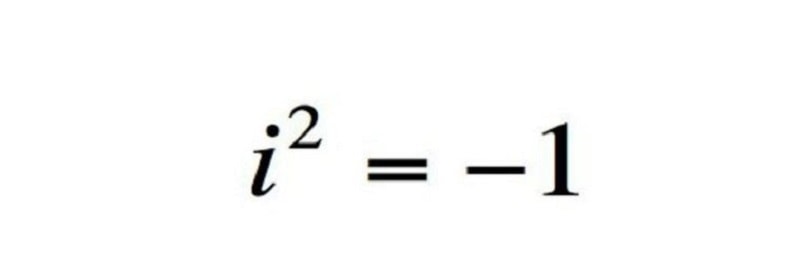
Các nhà nghiên cứu về toán học không ngừng mở rộng sự đa dạng của tập hợp số. Tập hợp số càng phát triển thì các phương trình toán học càng mô tả được nhiều hơn. Sức mạnh của các phương trình toán học đều tăng lên đáng kể khi các nhà khoa học tìm ra được các tập hợp số mới. Trong thực tế của toán học, tập hợp số bao gồm về tập hợp các số tự nhiên, phân số, số thực và số âm.

Căn bậc 2 của -1 (được kí hiệu là i) thêm sự đa dạng cho tập hợp số bằng việc tạo ra các số phức. Trong toán học, số phức vô cùng đơn giản, nhờ có sự góp mặt của số phức mà đại số hoạt động một cách hoàn hảo hơn, tức là khi giải bất kì phương trình nào cũng sẽ cho ra một kết quả (gọi là nghiệm). Trước khi xuất hiện căn bậc 2 của -1, phương trình dạng “x2 + 4 = 0” không thể tìm được nghiệm trên tập số thực, nhưng trên tập số phức nó cho nghiệm là căn của -2.
Trong các phương trình vi tích phân, tập số cũng được mở rộng sang tập số phức. Với phương pháp đó mà người ta tìm thấy được tính chất và sự đối xứng tuyệt vời của những con số này. Nhờ những đặc tính của số phức mà nó có sự đóng góp không hề nhỏ vào các lĩnh vực công nghệ, khoa học ví dụ như: điện tử, cơ lượng tử, điện từ học, xử lí tín hiệu...
Khối đa diện thể hiện, mô phỏng 3 chiều của một tam giác. Mỗi đa diện được cấu tạo bởi các đỉnh và các góc. Các cạnh là đường kết nối giữa 2 đỉnh và các mặt bề ngoài bao phủ lấy khối đa diện gọi là diện tích bên ngoài.
Đặc trưng Euler: X(S) = V – E + F (Trong đó: V là số đỉnh, E là số cạnh, F là số mặt phẳng).
Bất kì khối đa diện nào khi áp dụng công thức cho các đỉnh, cạnh, mặt theo đặc trưng Euler đều cho ra kết quả bằng 2. Ví dụ, một khối đa diện có 12 đỉnh, 30 cạnh và 20 mặt (nhị thập diện), áp dụng công thức đặc trưng Euler ta được: 12 – 30 + 20 = 2.
Phân phối chuẩn còn được gọi với cái tên là phân phối Gauss, là một phương trình phân phối xác suất có vai trò vô cùng quan trọng trong nhiều lĩnh vực cuộc sống. Đặc biệt là bạn có thể bắt gặp nó thường xuyên trong thống kê, hay nhìn thấy chúng với hình dạng của những đường cong chuông quen thuộc. Trong các ngành khoa học xã hội, sinh học, vật lý đường cong chuẩn được sử dụng để mô tả các thuộc tính đa dạng.

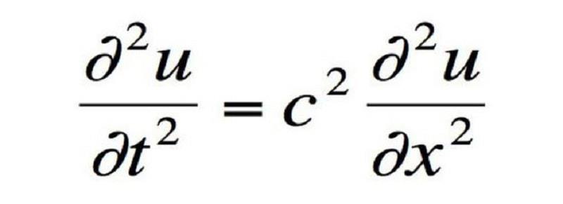
Để mô tả các sóng trong vật lý, người ta đã đưa ra phương trình vi phân riêng cho phần tuyến tính bậc hai. Các sóng được mô tả có thể là từ gợn nước trên mặt hồ sau khi nén một viên đá xuống nước, sự rung động của dây đàn guitar và ánh sáng được phát ra từ bóng đèn sợi đốt. Để tìm hiểu và mở rộng đến các phương trình khác thì cần dựa vào các kỹ thuật được phát triển từ phương trình này.

Để có thể hiểu được các cấu trúc sóng phức tạp, người ta đã phát minh ra công thức biến đổi Fourier.
Ví dụ: Đối với lời của chúng ta nói, nếu ta thu một bản ghi âm giữa 2 người nói, và đó là một tập hợp các sóng phức tạp và hỗn độn thì công thức biến đổi Fourier sẽ có vai trò sắp xếp lại chúng thành một tập hợp sóng đơn giản, nhờ vậy mà việc phân tích về sóng trong bản ghi âm đó trở nên dễ dàng hơn.

Công thức biến đổi Fourier mang lại rất nhiều lợi ích và được ứng dụng trong các ngành khoa học, điển hình như: Xử lí tín hiệu, Vật lí, xác suất, số học, thống kê, quang học, mật mã, hình học...
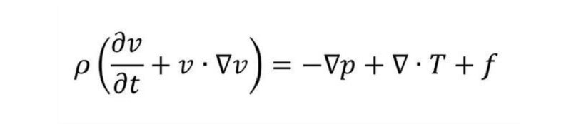
Đây được coi là phương trình vi phân cơ bản giống các phương trình khác. Nó miêu tả về dòng chảy của chất lưu bao gồm chất lỏng và chất khí.
Ví dụ:phương trình này được sử dụng cho lưu lượng khí trên cánh máy bay, khói tỏa ra từ điếu thuốc lá, dòng chảy nước trong ống...

Có một điều rất thú vị xoay quanh phương trình này đó là mặc dù đã được phát minh ra vào năm 1822 và được sử dụng trong gần 2 thế kỉ qua, phương trình này vẫn tồn tại những vấn đề mà chưa một nhà nghiên cứu toán học nào có thể giải đáp.
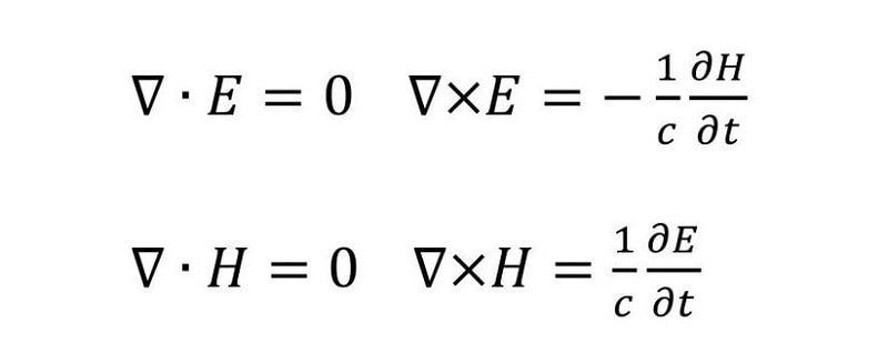
Trong hệ phương trình Maxwell gồm có 4 phương trình vi phân, các phương trình này mô tả về trường điện từ hay còn gọi là hành vi và mối quan hệ của từ trường và điện trường. Nhưng hệ phương trình Maxwell cũng mới chỉ dừng lại ở việc mô tả điện trường từ một quy mô lớn, cũng giống như định luật vạn vật hấp dẫn của Newton thuộc về cơ học cổ điển. Phương trình ngày giải thích về cách mà dòng điện hoạt động xung quanh chúng ta.

Với một thế giới vật lý hiện đại, thì mọi thứ thuộc về cơ học cổ điển như điện từ cổ điện sẽ thất bại, bởi chỉ có thể mô ta được những hiện tượng ở thế giới vi mô. Ngày nay, phương trình Maxwell đã bị thay thế bởi cơ học lượng tử và lý thuyết của nó về điện từ trường. Nhưng dù sao đi nữa, trong những tính toán hàng ngày nó vẫn được sử dụng và cho ra kết quả gần đúng.
Phương trình: d.S ≥ 0
Định luật này chỉ ra rằng entropy – được hiểu một cách đơn giản là sự hỗn loạn trong hệ khép kín chỉ có thể tăng lên hoặc giữ nguyên. Tất cả mọi thứ nghe có vẻ đơn giản và hợp lý, nhưng đây lại chính là yếu tố khiến chúng ta bị cản lại trên con đường đến với những thiết bị viễn tưởng trong tương lai.
Để dự đoán cho số phận của vũ trụ người ta đã dùng Định luật 2 nhiệt động học, nó đã giải thích được sự hỗn loạn trong vụ nổ Big Bang của vũ trụ và dẫn đến “cái chết nhiệt”, khi trên một trạng thái nhiệt độ vạn vật được cân bằng.
Ví dụ: Khi bạn thả đá vào một cốc nước nóng, đá sẽ tan ra và nước nguội đi.
Phương trình càng giản đơn thì sẽ càng đẹp, phương trình E = mc2 được coi là một phương trình vô cùng nổi tiếng. Chỉ với một công thức ngắn gọn, đơn giản nhưng lại có sức mạnh to lớn, đây chính là sự khởi đầu cho những phát minh về năng lượng nguyên tử.
Theo như Einstein đã chứng minh, khối lượng và năng lượng vốn chỉ là một, chúng tồn tại ở hai trạng thái khác nhau, khối lượng là sự “đặc lại” của năng lượng.
Tại sao mặt trời và sao có thể tỏa sáng hàng triệu năm, tại sao tia uranium lại có thể bắn ra những tia li ti nhưng lại chạy với tốc độ khủng khiếp, tất cả các các hiện tượng này đều được giải thích bằng phương trình E = mc2.
Vốn được coi là nền tảng của cơ học lượng tử, phương trình Schorodinger đã miêu tả hành vi của các hạt hạ nguyên tử và các nguyên tử, trong khi thuyết tương đối lại giải thích về vũ trụ và các quy mô cực lớn. Nhưng chúng ta cần hiểu rằng, để có thể hiểu được những thứ bao la, rộng lớn chúng ta cần biết được những thứ bé nhỏ trước.

Sự biến đổi theo thời gian trạng thái lượng tử của một hệ vật lý được mô tả qua phương trình Schorodinger. Nó có thể được dùng để biến đổi Galileo và thay thế định luật Newton trong cơ chế cổ điển.
Các entropy thông tin được mô tả thông qua phương trình này. Đây là một hình thức mở rộng của entropy trong định luật 2 động lực học đã nói phía trên. Entropy thông tin là sự mô tả về mức độ hỗn loạn của một tín hiệu, nó chỉ ra được trong tín hiệu đó có bao nhiêu thông tin, ví dụ: một dòng chữ, một cuốn sách, một bức ảnh...

Chúng ta có thể nén một tệp thông tin mà không làm mất đi ý nghĩa của nó nhờ Entropy thông tin. Việc đo entropy thông tin chính là cơ sở để phát triển toán tin, mở ra cách mà chúng ta giao tiếp và kết nối trên mạng internet như ngày nay.

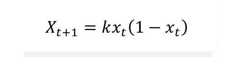
Phương trình này được phổ biến bắt đầu vào năm 1976 với tên gọi là bản đồ Logistic, được phát minh bởi Robert May, mô tả về sự thay đổi một đại lượng theo thời gian.
Đó chính là sự nhạy cảm trong điều kiện ban đầu của hành vi hỗn độn. Và mô hình này được sử dụng trong rất nhiều các lĩnh vực, đặc biệt là trong việc dự báo thời tiết.

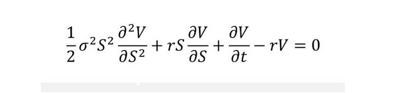
Đây lại là một phương trình vi phân, mô tả về cách mà các nhà đầu tư và các chuyên gia tài chính định giá cho chứng khoán. Chỉ cần hiểu đơn giản đây chính là phần quan trọng của tài chính hiện tại với vai trò bảo vệ lợi nhuận, phân tán rủi ro, tạo ra lợi nhuận. Và bên cạnh đó phương trình này còn giúp các chuyên gia tính giá trị các sản phẩm và các tài sản cơ sở.
Trên đây là 17 phương trình thay đổi lịch sử thế giới mà Vieclam123.vn đã tìm hiểu, hi vọng với thông tin này các bạn có thêm thật nhiều hiểu biết về các kiến thức khoa học, giúp mở rộng kiến thức và tầm hiểu biết sâu rộng.
>> Xem thêm:
MỤC LỤC
Chia sẻ